Inštrukcije matematike za osnovne in srednje šole.
Inštrukcije matematike za osnovne in srednje šole.

TrikyTorek

Serija zabavnih nalogic #TrikyTorek. Objavljamo jih tedensko na našem Facebooku, kjer lahko svoje rezultate primerjaš med komentarji ostalih sodelujočih.

Tukaj pa si lahko pogledaš podrobnejšo razlago in rešitve.

Oba sta lagala.
Otrok s črnimi lasmi je deklica, otrok z belimi lasmi pa fant.
(Če bi le eden lagal, bi bila oba dečka ali deklici)

Najprej reko prečkata Cilka in Darja, Dar,a se vrne.
Alen nato prevesla reko in se Cilka vrne.
Cilka in Darja ponovno prečkata reko, kjer se Darja ponovne vrne.
Branko z zalogami prečka reko, vrne pa se Cilka.
Cilka in Darja še zadnjič skupaj prečkata reko.

Rešitev:
Iskana karta je karta 2 src.
Tako lahko ugotovite iz namigov:
i) Vrednost iskane karte je prosto število.
Torej bi lahko šlo za križ 7, karo 7 ali 2 src.

ii) Vrednosti sosednjih kart se seštejejo v večkratnik 3.
Torej bi lahko šlo za karo 7 ali 2 src.

iii) Iskana karta je poleg karte, ki je poleg karte dveh src.
Torej bi lahko bil samo 2 src.

V vrsto se je najbolje postaviti na 13. mesto. Saj:

  • 1. v vrsti dobi 1 košček, 1 košček je porabljen
  • 2. v vrsti dobi 2 koščka, porabljeni so 1 + 2 = 3 koščki
  • 3. v vrsti dobi 3 koščke, porabljenih je 1 + 2+ 3 =6 koščkov
  • ….
  • 13. v vrsti dobi 13 koščkov, porabljenih je 
    1 + 2 + 3 + … + 12 +13 = 91 koščkov

13. v vrsti je zadnji, ki dobi koščke čokolade, saj je za 14. v vrsti ostane premalo koščkov (9).

Ostrigli bi se pri brivcu s slabo frizuro, saj on striže tistega z urejenim lasiščem.

Potrebnih je m × n – 1 korakov.  Z lomljenjem obstoječega kosa vodoravno ali navpično zgolj povečamo skupno število kosov za enega.  Na začetku že imamo 1 kos, zato potrebujemo še  m × n – 1 korakov, da pridemo do m × n kosov.

Neznano število dobimo tako, da zmnožimo največji števili in odštejemo kvadrat najmanjšega. Torej tako dobimo:

9 * 5 – 4^2 = 45 – 16 = 29

Namigi:
Rešitev:
Od severne do južne hiše si sledijo: Mark, Luka, Olga, Nika, Peter.

(7+7)*(7+1/7) = 100

Celotno Janovo višino označimo z x in nalogo rešimo s pomočjo enačbe: x = 90 cm + x/2. Če enačbo uredimo, dobimo x/2 = 90 cm. Torej je rešitev te enačbe x=180 cm in prišli smo do Janove višine.

  1. 6 8 2: namig si zapomnimo
  2. 6 1 4: 6 ni pravilna zaradi 1. namiga
  3. 2 0 6: iz 1. sledi, da je 2 na zadnjem mestu
  4. 7 3 8: namig si zapomnimo
  5. 7 8 0: iz 4. in 3. ugotovimo, da je 0 na prvem mestu

Zadnjo števko ugotovimo s pomočjo 2. namiga, pravilna je 4, saj je pri 2. na napačnem mestu, torej je koda: 0 4 2

Pravzaprav ni enega pravilnega odgovora. Število 15 ne spada zraven, ker je edino število manjše od 20, 20 ne spada zraven, ker je edino sodo, število 23 ne spada zraven, ker je edino praštevilo, 25 pa ne spada zato, ker je edino »kvadratno« število.

Od najmanjšega do največjega ulomka si sledijo: 3., 1., 4., 2.

Kako pa pridemo do te rešitve? Ena pot je, da vtipkamo na kalkulator (3:2 = 1,5 itd.) in jih hitro postavimo v vrstni red. Saj ulomki vendar predstavljajo deljenje! Po drugi, bolj matematični poti, pa lahko ulomke razširimo do skupnih imenovalcev. Skupni imenovalec števil 5, 2, 4 in 6 je 60. Naši ulomki so tako (od leve proti desne iz slike): 36/60, 90/60, 30/60, 40/60. Sedaj pa ulomke razporedimo po velikosti od najmanjšega do največjega števca in rešitev je na dlani.

S pomočjo ploščine kvadrata in ploščine kroga izračunamo, da je modro območje večje.

Ko prepognemo papir, vedno dobimo dvakrat večje število slojev. Število slojev moramo na koncu še pomnožiti z debelino papirja, s tem dobimo milimetre, ker je razdalja do Lune podana v kilometrih, moramo dobljen rezultat še deliti s 1000 000.
 
Do številke 42 pa lahko pridemo tudi na sledeč način:

Pomagali si bomo z reševanjem sistema 4 enačb s 4 neznankami. Pot do rešitve ni več težka:

Števko 2 pri številu 102 postavimo v eksponent, da dobimo 101 – 102 = 1.

Označimo 1. števko z a, 2. števko z b in 3. števko s c. Iz besedila zapišemo enačbi: b = 4*c in a = b – 3
Iz prve enačbe vidimo, da je števka b večkratnik števila 4. Možnosti za b so: 0, 4 in 8.

  • Če je b = 0, potem je c = 0 in a = -3 (to pa ni števka!). Zato v tem primeru ne dobimo števila.
  • Če je b = 4, potem je c = 1 in a = 1. Dobimo število 141.
  • Če je b = 8, potem je c = 2 in a = 5. Dobimo število 582.

Besedilo naloge: Zračna razdalja med New Yorkom in Londonom je približno 5600 km. Opazujemo letali, ki poletita istočasno. Prvo letalo leti iz New Yorka v London s hitrostjo 920 km/h, drugo pa iz Londona v NY s hitrostjo 800 km/h.

Rešitev: Ko se letali srečata, sta seveda enako oddaljeni od Londona.

Le števka 6 je taka, da se ji vrednost poveča, če jo obrnemo na glavo (dobimo 9). Števil, kjer se to zgodi pa je veliko: 6, 66, 666, 666… in tako naprej.

Pravilen je odgovor B. Namesto da računamo koliko je 3^4, preprosto lahko stopnje oziroma eksponente odštejemo. Tako dobimo, da je vrednost ulomka 3^(4-2) = 3^2 = 9.

Trik pri nalogi je, da sliko pogledamo obrnjeno na glavo. Številka na kateri je parkiran avto je preprosto 87.

1. Izberem število 555.
2. Če seštejem števke dobim 5+5+5 = 3*5 = 15
3. 555 : 15 = 37

Razlaga:
1. Vzemimo poljubno trimestno število z enakimi števkami. Označimo posamezno števko z a. Imamo trimestno število aaa. Število zapišimo s pomočjo stotic, desetic in enic na sledeč način: aaa = a*100 + a*10 + a*1.
2. Če seštejemo števke tega števila dobimo: a + a +a = 3*a.
3. Sedaj zapišimo število iz 1. koraka tako, da izpostavimo a. Dobimo: aaa = a*(100+10+1) = a * 111.
To pa sedaj delimo s številom iz 2. koraka:
(a * 111) : (3 * a) = 111 : 3 = 37

Recimo, da bi dva pirata (ali več) na barki govorila resnico. Potem bi bil stavek, ki pravi, da v vsakem paru vsaj en pirat laže, neresničen. Pri dveh resnicoljubnih piratih bi se ravno to zgodilo, ko bi ta dva pirata skupaj pristala v paru. Tako vemo, da je na barki samo en pirat, ki ne laže.

Nikoli, saj se zaradi plime ladja (in lestev) dviguje skupaj z gladino vode 😉

Prvi dan dobiš 1 cent, drugi dan 2 centa, tretji dan 4 cente, četrti dan 8 centov… Opravka imamo s potencami števila 2. V 30 dneh bi tako dobili: 1 + 2 + 22 + 23 + 24 + … + 229. Če teh 30 števil seštejemo, dobimo 1 073 741 823 centov. To število delimo s 100, da pretvorimo v evre in dobimo 10 737 418 evrov. Torej bi se druga možnost nedvomno veliko bolj izplačala. (PS: že samo 229/100  je več kot 5 milijonov.)

Vsak skok za 3cm se zmanjša za 1cm, torej gledamo skoke dolžine 2cm. Po šestem skoku je žabica na 12 cm. Sedmi skok (3cm) pa jo bo ponesel ven iz luknje na 15cm. Ker je že zunaj luknje, ji ne bo več spodrsnilo in žabica je rešena.

Veliki trikotnik je sestavljen iz devetih enakih malih trikotnikov, kot kaže slika. Torej je ploščina malega trikotnika (in s tem tudi oranžnega) enaka 90 : 9 = 10.

V najslabšem primeru vsakič izvlečem nogavico, ki se ne ujema z nobeno izvlečeno (izvlečem 4-krat in imam 4 različne barve). Pri naslednji izvlečeni nogavici sigurno dobim par. Odgovor: 5-krat.

V zgornjem levem kotu moramo s tremi števili dobiti 21 (25 – 4= 21). To lahko storimo le s števili 5, 7 in 9. Če sedaj pogledamo zgornji desni kot, vidimo, da moramo z dvema številoma sestaviti število 18. To lahko storimo na dva načina: 10 + 8 in 7 + 11. Ker le v kombinaciji 7 + 11 nastopa eno od števil 5, 7, 9 smo našli pravo vsoto. V srednji zgornji kvadratek vpišemo število 7, v zgornji desni pa število 11.

Poglejmo si kvadratka pri številu 6. Dobiti moramo vsoto 15 (25 – 4 – 6 = 15). Vsoto 15 lahko dobimo na en sam način s števili, ki jih še imamo: 10+5. Ker mora število 5 nastopati tudi v zgornji vsoti (okrog števila 4) natanko vemo, v kateri kvadratek jo moramo vpisati. Prav tako vemo, kam vpisati število 10.

Ostali sta nam števili 8 in 9, za kateri vemo kam pašeta.

Odgovor: 1113213211.
Razen prva vrstica, vsaka naslednja opisuje prejšnjo vrstico takole (pri iskanju rešitve pomaga, če si števila prebereš na glas):

1
ena 1
dve 1
ena 2, ena 1 …

5 – 5 + 5 – 5 = 0
5 – 5 + 5 : 5 = 1
5 : 5 + 5 : 5 = 1 + 1 = 2
5 x (5 – 5) + 5 = 5

Iz 5 litrske posode vodo prelijemo v 4 litrsko. V večji posodi ostane 1 liter. Vodo iz 4 litrske posode zlijemo ven, 1 liter iz 5 litrske posode pa natočimo v 4 l posodo. 5 litrsko posodo zopet napolnimo in dotočimo v 4 litrsko posodo kar se da (to je 3 litre). V večji posodi nam ostaneta še 2 litra.

Ko se je izpit začel, je profesor obrnil obe uri. Ko se je 7-minutna iztekla, jo je obrnil. 4 minute kasneje se je iztekla 11-minutna (do tega trenutka je minilo 11 minut). Zopet je obrnil 7-minutno, da so pretečene 4 minute stekle nazaj. 11 + 4 = 15 in izpita je bilo konec.

(7 min + 4 min + 4 min = 15 min)

Ko je Simon krenil na pot proti sosedu, si je zapomnil čas na svoji uri. Na primer, da je kazala 3:25. Ko je prišel do soseda, je ura pri sosedu kazala 9:15. Simon si je to zapomnil in se vrnil nazaj domov. Ko je doma pogledal na svojo uro, je ta kazala 4:20. Takoj je ugotovil, da je za pot do soseda in nazaj porabil  50 minut (ura 3:25 + 50 minut = ura 4:20). Torej je od trenutka, ko je pogledal na sosedovo uro (9:15) minilo 25 minut in ravno teh 25 minut je Simon prištel k uri, ki jo je videl pri sosedu in tako nastavil svojo uro na pravilen čas (9:15 + 25 min = 9: 40).

Pri tej nalogi lahko dobimo 1 (6:(2*3) = 6:6 = 1) ali 9 ((6:2)*3 = 3*3 = 9). Pravilni odgovor je 9, saj je potrebno računati od leve proti desni (deljenje in množenje sta enakovredni operaciji, zato se v takih primerih zanesemo na vrstni red od leve proti desni).

Zapišemo dve enačbi:
miza + mačka – želva = 170 cm
miza + želva – mačka = 130 cm
Če enačbi seštejemo dobimo:
(miza + mačka – želva +
  miza + želva – mačka =  170 + 130 )
2 * miza = 300 cm
miza = 150 cm

Navodilo: V ribniku so lokvanji. Vsak dan se njihova površina podvoji. Vzelo jim je 48 dni, da so prekrili celoten ribnik.

Odgovor:
Lokvanji potrebujejo 47 dni, da prekrijejo polovico, saj se 48. dan njihovo število podvoji, torej prekrijejo še preostalo polovico in ribnik je povsem prekrit.

Iz prvega stavka razberemo, da vsak matematik potrebuje 5 minut, da reši en problem. V drugem primeru 100 matematikov rešuje 100 problemov, zopet vsak matematik rešuje le en problem in to vsakemu vzame 5minut. Odgovor: 5 minut.

Nalogo rešimo s pomočjo enačb.

Odgovor je: neskončno hitro!
Recimo, da je pot do konca predorov dolga 100 km (s hitrostjo 100 km/h potrebujemo 1 uro). Meritve povprečne hitrosti se izračunajo s pomočjo enačbe: hitrost = pot/čas. Poenostavljeno, če bo nek avto 100 kilometrov prevozil v manj kot eni uri, bo dobil kazen.
Če se vozimo s 50 km/h, 50 kilometrov prevozimo v 1 uri. V našem primeru je 50 km ravno polovica poti in za to pot smo že porabili 1 uro. Kazni se torej v vsakem primeru izognemo in lahko pospešimo do neskončno km/h (če bi lahko).

Rojstni dan ima 31. decembra. Na vprašanje pa je odgovoril 1. januarja.

‘Predvčerajšnjim sem bil star 25…’
30. dec: 25
31. dec: 26
1. jan (to leto): 26

‘..naslednje leto pa slavim 28. rojstni dan.’
31. dec (to leto): 27
31. dec (naslednje leto): 28

Gozdarja skupaj posekata gozd v 8 dneh, torej v enem dnevu posekata 1/8 gozda. Zagnani gozdar pa ga poseka sam v 12 dneh, torej v enem dnevu poseka 1/12 gozda. 
Razlika 1/8 – 1/12 = 3/24 – 2/24 = 1/24 predstavlja ravno delež gozda, ki bi ga len gozdar sam posekal v enem dnevu. Torej bi len gozdar sekal gozd 24 dni.

Vsota števk produkta števil med 1 in 10 z 9 je vedno enaka 9 (9, 18, 27, 36, 45, 54, 63, 72, 81, 90). Tako torej v 3. koraku vedno dobimo število 9, ki ji nato prištejemo 4 in na koncu dobimo 13.

S k označimo število kozarcev in s s število svinčnikov. Rešimo sistem enačb.

Premislek je podoben kot pri vprašanju, katera števka se največkrat pojavi do števila 100. Število 0 se pojavi le 11-krat (10, 20, …, 100). Števke od 1 do 9, se do števila 99 pojavijo 18-krat (1, 11, 12, 13, …, 19, 21, 31, 41, …, 91). Števka 1 pa se nato pojavi še pri 100, torej se je pojavila 19-krat in je zato zmagovalka.

Če pomnožimo 7, 11 in 13, dobimo 1001. V nadaljevanju pa si bomo pomagali z desetiškim zapisom števil (tisočice T, stotice S, desetice D, enice E).

Iz rešitve se tudi vidi, da lahko 123 nadomestimo s katerimkoli trimestnim številom.

Seveda 1€ ni izginil nikamor. Vse je odvisno od pogleda na navodilo, potrebno je gledati le na to, koliko moramo vrniti! Staršema je potrebno vrniti v enakem razmerju, kot smo si sposodili. Torej od 97€ srajce moramo vsakemu vrniti polovico, torej 48,50€ (skupaj 97€). Dolgujemo jima še 3€ (po 1,50€ vsakemu). Ker smo jima 1€ že vrnili (skupaj 2€), moramo vsakemu vrniti še 0,50€ (kar je skupaj – iskani – 1€).

Rešimo sistem enačb. Iz prve enačbe razberemo, da je hamburger vreden 2€. Zaradi tega zlahka vidimo, da je pomfrit vreden 3€ in nato pica 5€.
Hamburger + pomfrit + pica = 10€.

Opomba: zgornja slika ima namesto + v zadnji vrstici zapisane x.

Po formuli za ploščino kroga (Pi * r2) izračunamo ploščino velike pice (premer = 18 cm oz. polmer = 9 cm), ki je enaka Pi * 92 = 254,4 cm2. Skupna ploščina dveh malih pic (premer 12 cm oz. polmer 6 cm) pa je enaka 2*Pi*62 = 226,2 cm2. Torej je ploščina pice s premerom 18 cm res večja od ploščine dveh pic s premerom 12 cm skupaj. Sedaj veste, kakšno pico boste naslednjič raje naročili.

Trik je v tem, da štejemo število krogcev v števkah. Na primer 0 ima en krogec, 1 nima nobenega, 8 ima dva. 1919 ima 2 krogca (v devetkah).

Vsaka naslednja številka je vsota prejšnjih dveh. 1+2 = 3, 2 + 3 = 5,
3 + 5 = 8
,…., zato je iskano število
13 + 21 = 34.
Dano zaporedje je zelo znano, imenuje se Fibonaccijevo zaporedje.

Ko je bila Ana stara 6 let, je bil Bor star 12. Iz tukaj vidimo, da je Bor 6 let starejši od Ane. Ker je Bor sedaj star 40 let, je Ana stara 6 let manj, torej 34.

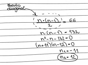
Na goste lahko gledamo kot na oglišča v n-kotniku, rokovanja pa so diagonale. Vemo, da je rokovanj 66, torej v našem jeziku 66 diagonal v nekem n-kotniku. Po formuli za število diagonal v večkotniku dobimo enačbo (z n označimo število gostov oz. število oglišč). Dobimo, da je bilo na zabavi 12 gostov.

Naše število bomo označili z x
1. korak: izberemo x
2. korak: x * 2
3. korak: x*2 + 10
4. korak: (x*2 + 10) : 2 = x + 5
5. korak: (x+ 5) – x = 5 

Na koncu smo dobili le število 5, brez x-a. Zato je vseeno, kakšno število si izberemo v 1. koraku, saj je rezultat vedno enak 5.

Na pico gledamo kot na valj z višino a in polmerom z. Po formuli za volumen valja (V = Pi *2*v) dobimo, da je volumen pice enak
V = Pi *2 *a  =  Pi*z*z*a.